Номер 71 - ГДЗ Алгебра 8 класс. Мерзляк, Полонский. Учебник. Страница 21

Вернуться к содержанию учебника

Упражнения § 3. Страница 21

68 69 70 71 72 73 74

Вопрос

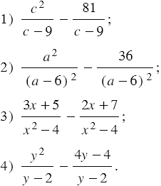
Упростите выражение:

Подсказка

Ответ


Вернуться к содержанию учебника