Номер 9 - ГДЗ Алгебра 8 класс. Мерзляк, Полонский. Учебник. Страница 33

Вернуться к содержанию учебника

Задание №1 "Проверь себя". Страница 33

6 7 8 9 10 11 12

Вопрос

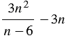
Представьте в виде дроби выражение .

Подсказка

Вспомните:

  1. Какую дробь называют рациональной.
  2. Что называют одночленом.
  3. Что называют многочленом.
  4. Основное свойство рациональной дроби.
  5. Деление и дроби.
  6. Сложение и вычитание рациональных дробей с разными знаменателями.
  7. Сложение и вычитание рациональных дробей с одинаковыми знаменателями.
  8. Подобные слагаемые, правила раскрытия скобок.
  9. Степень с натуральным показателем.
  10. Распределительное свойство умножения.
  11. Умножение одночлена на многочлен.
  12. Противоположные числа.
  13. Правила сложения рациональных чисел.
  14. Правило вычитания рациональных чисел.

Ответ

6 7 8 9 10 11 12


Вернуться к содержанию учебника