Номер 12 - ГДЗ Алгебра 8 класс. Мерзляк, Полонский. Учебник. Страница 34

Вернуться к содержанию учебника

Задание №1 "Проверь себя". Страница 34

9 10 11 12 1 2 3

Вопрос

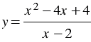
На каком рисунке изображен график функции ?

А)

Б)

В)

Г)

Подсказка

Вспомните:

  1. Что называют графиком функции.
  2. Линейная функция и ее график.
  3. Координаты точки.
  4. Какую дробь называют рациональной (допустимые значения переменных).
  5. Основное свойство рациональной дроби (сокращение дробей).
  6. Что называют одночленом.
  7. Что называют многочленом.
  8. Степень с натуральным показателем.
  9. Квадрат разности двух выражений.

Ответ

9 10 11 12 1 2 3


Вернуться к содержанию учебника