Номер 144 - ГДЗ Алгебра 8 класс. Мерзляк, Полонский. Учебник. Страница 37

Вернуться к содержанию учебника

Упражнения § 5. Страница 37

2 3 143 144 145 146 147

Вопрос

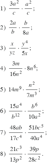
Выполните умножение:

Подсказка

Ответ


Вернуться к содержанию учебника