Номер 147 - ГДЗ Алгебра 8 класс. Мерзляк, Полонский. Учебник. Страница 37

Вернуться к содержанию учебника

Упражнения § 5. Страница 37

144 145 146 147 148 149 150

Вопрос

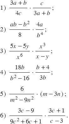
Выполните умножение:

Подсказка

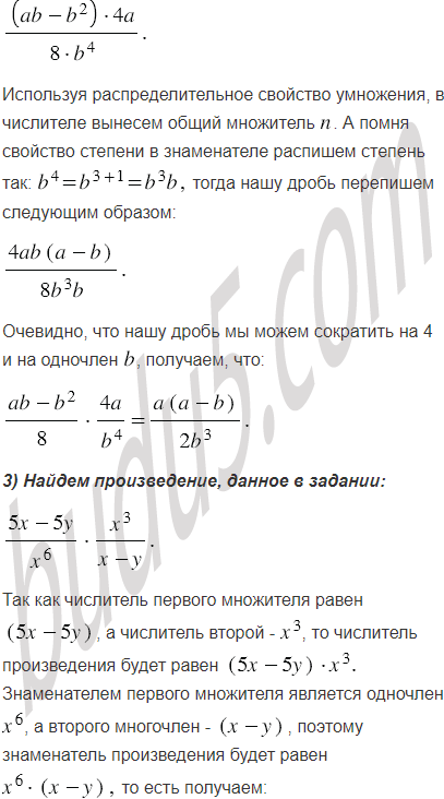
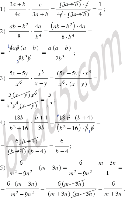
Ответ


Вернуться к содержанию учебника