Номер 150 - ГДЗ Алгебра 8 класс. Мерзляк, Полонский. Учебник. Страница 38

Вернуться к содержанию учебника

Упражнения § 5. Страница 38

147 148 149 150 151 152 153

Вопрос

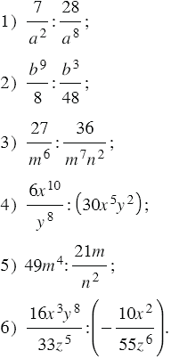
Найдите частное:

Подсказка

Ответ


Вернуться к содержанию учебника