Номер 146 - ГДЗ Алгебра 8 класс. Мерзляк, Полонский. Учебник. Страница 37

Вернуться к содержанию учебника

Упражнения § 5. Страница 37

143 144 145 146 147 148 149

Вопрос

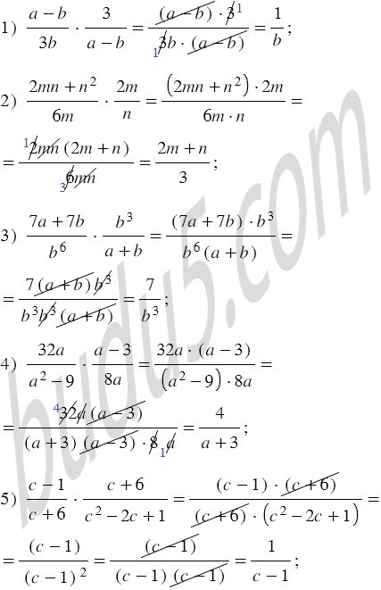
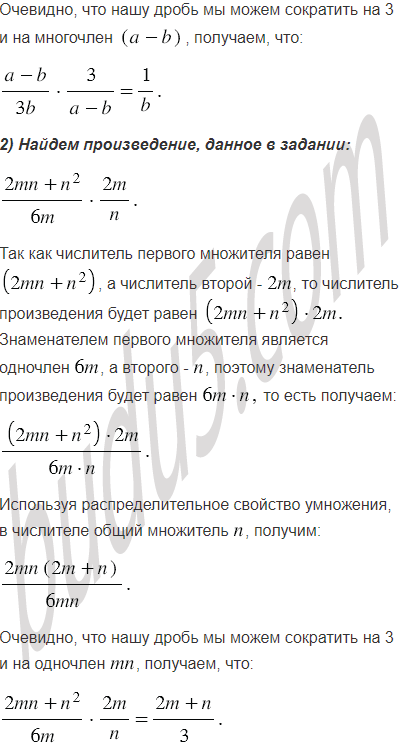
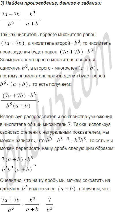
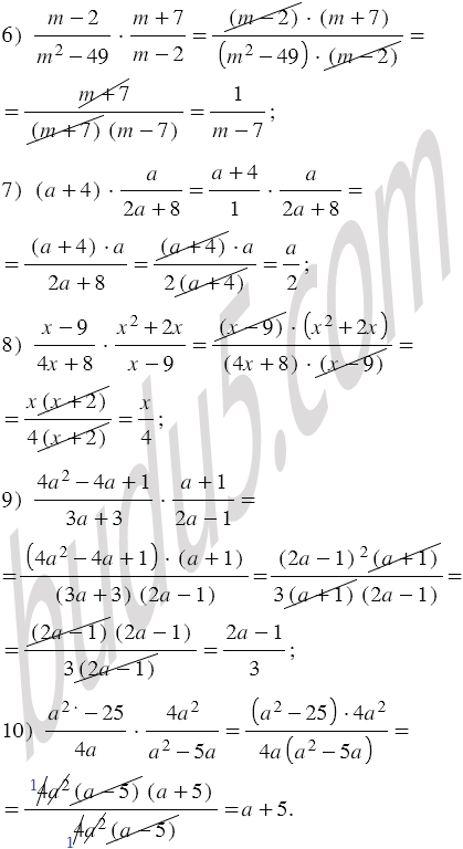
Упростите выражение:

Подсказка

Ответ


Вернуться к содержанию учебника