Номер 3 - ГДЗ Алгебра 8 класс. Мерзляк, Полонский. Учебник. Страница 49

Вернуться к содержанию учебника

Задание №2 "Проверь себя". Страница 49

204 1 2 3 4 5 6

Вопрос

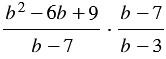
Упростите выражение .

Подсказка

Вспомните:

  1. Какие дроби называют рациональными.
  2. Сокращение рациональных дробей.
  3. Что называют произведением рациональных дробей.
  4. Степень с натуральным показателем.
  5. Свойства степени с натуральным показателем.
  6. Квадрат разности двух выражений.
  7. Деление и дроби.

Ответ

204 1 2 3 4 5 6


Вернуться к содержанию учебника