Номер 11 - ГДЗ Алгебра 8 класс. Мерзляк, Полонский. Учебник. Страница 50

Вернуться к содержанию учебника

Задание №2 "Проверь себя". Страница 50

8 9 10 11 12 1 2

Вопрос

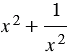
Известно, что . Найдите значение выражения .

А) 36

Б) 38

В) 34

Г) 35

Подсказка

Ответ

8 9 10 11 12 1 2


Вернуться к содержанию учебника