Номер 332 - ГДЗ Алгебра 8 класс. Мерзляк, Полонский. Учебник. Страница 82

Вернуться к содержанию учебника

Упражнения § 10. Страница 82

329 330 331 332 333 334 335

Вопрос

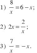
Решите графически уравнение:

Подсказка

Ответ


Вернуться к содержанию учебника