Номер 333 - ГДЗ Алгебра 8 класс. Мерзляк, Полонский. Учебник. Страница 82

Вернуться к содержанию учебника

Упражнения § 10. Страница 82

330 331 332 333 334 335 336

Вопрос

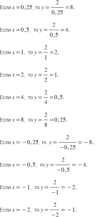
Решите графически систему уравнений:

Подсказка

Ответ


Вернуться к содержанию учебника