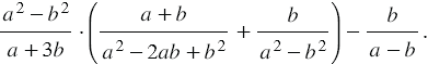
Номер 344 - ГДЗ Алгебра 8 класс. Мерзляк, Полонский. Учебник. Страница 83

Вернуться к содержанию учебника

Упражнения § 10. Страница 83

341 342 343 344 345 346 347

Вопрос

Докажите, что при всех допустимых значениях переменных, содержащихся в выражении, его значение не зависит от значений и :

Подсказка

Ответ


Вернуться к содержанию учебника