Номер 511 - ГДЗ Алгебра 8 класс. Мерзляк, Полонский. Учебник. Страница 131

Вернуться к содержанию учебника

Упражнения §16. Страница 131

508 509 510 511 512 513 514

Вопрос

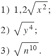
Замените выражение тождественно равными, не содержащим знака корня:

Подсказка

Ответ


Вернуться к содержанию учебника