Номер 527 - ГДЗ Алгебра 8 класс. Мерзляк, Полонский. Учебник. Страница 137

Вернуться к содержанию учебника

Упражнения §17. Страница 137

524 525 526 527 528 529 530

Вопрос

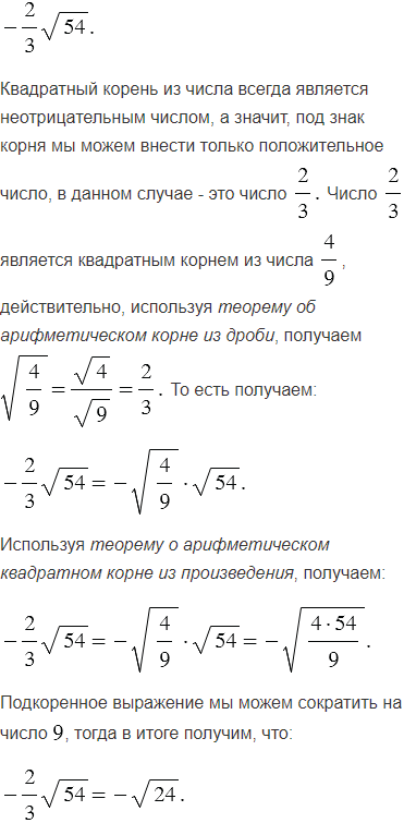
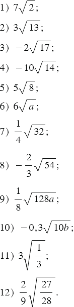
Внесите множитель под знак корня:

Подсказка

Ответ


Вернуться к содержанию учебника