Номер 528 - ГДЗ Алгебра 8 класс. Мерзляк, Полонский. Учебник. Страница 137

Вернуться к содержанию учебника

Упражнения §17. Страница 137

525 526 527 528 529 530 531

Вопрос

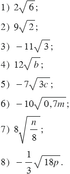
Внесите множитель под знак корня:

Подсказка

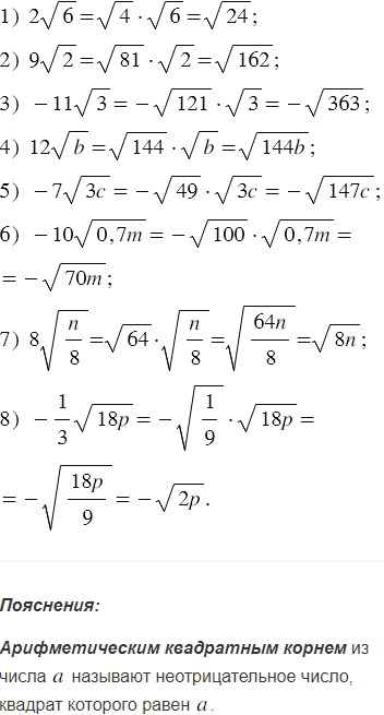
Ответ


Вернуться к содержанию учебника