Номер 538 - ГДЗ Алгебра 8 класс. Мерзляк, Полонский. Учебник. Страница 138

Вернуться к содержанию учебника

Упражнения §17. Страница 138

535 536 537 538 539 540 541

Вопрос

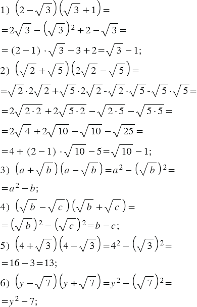
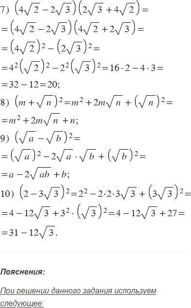
Выполните умножение:

Подсказка

Ответ


Вернуться к содержанию учебника