Номер 560 - ГДЗ Алгебра 8 класс. Мерзляк, Полонский. Учебник. Страница 141

Вернуться к содержанию учебника

Упражнения §17. Страница 141

557 558 559 560 561 562 563

Вопрос

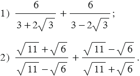
Докажите, что значением выражения является рациональное число:

Подсказка

Ответ


Вернуться к содержанию учебника