Номер 555 - ГДЗ Алгебра 8 класс. Мерзляк, Полонский. Учебник. Страница 140

Вернуться к содержанию учебника

Упражнения §17. Страница 140

552 553 554 555 556 557 558

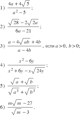
Вопрос

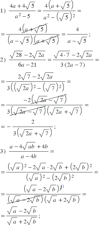
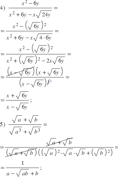
Сократите дробь:

Подсказка

Ответ


Вернуться к содержанию учебника