Номер 591 - ГДЗ Алгебра 8 класс. Мерзляк, Полонский. Учебник. Страница 148

Вернуться к содержанию учебника

Упражнения §18. Страница 148

588 589 590 591 592 593 594

Вопрос

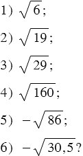
Между какими двумя последовательными целыми числами находится на координатной прямой число:

Подсказка

Ответ


Вернуться к содержанию учебника