Номер 592 - ГДЗ Алгебра 8 класс. Мерзляк, Полонский. Учебник. Страница 148

Вернуться к содержанию учебника

Упражнения §18. Страница 148

589 590 591 592 593 594 595

Вопрос

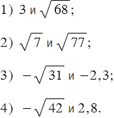
Укажите все целые числа, расположенные на координатной прямой между числами:

Подсказка

Ответ


Вернуться к содержанию учебника