Номер 597 - ГДЗ Алгебра 8 класс. Мерзляк, Полонский. Учебник. Страница 148

Вернуться к содержанию учебника

Упражнения §18. Страница 148

594 595 596 597 598 599 600

Вопрос

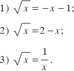
Решите графически уравнение:

Подсказка

Ответ


Вернуться к содержанию учебника