Номер 605 - ГДЗ Алгебра 8 класс. Мерзляк, Полонский. Учебник. Страница 149

Вернуться к содержанию учебника

Упражнения §18. Страница 149

602 603 604 605 606 607 608

Вопрос

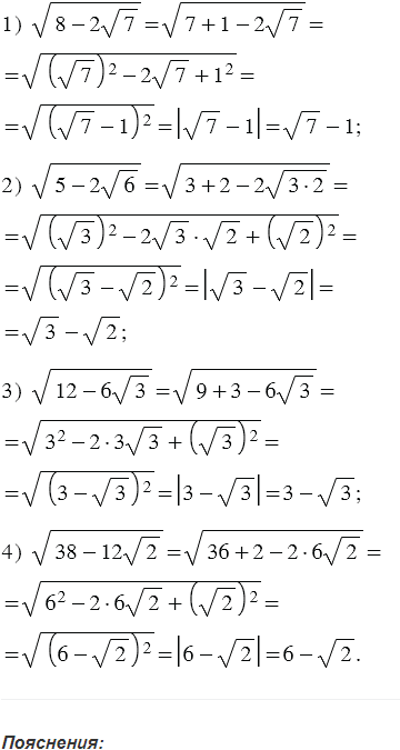
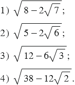
Упростите выражение:

Подсказка

Ответ


Вернуться к содержанию учебника