Номер 606 - ГДЗ Алгебра 8 класс. Мерзляк, Полонский. Учебник. Страница 149

Вернуться к содержанию учебника

Упражнения §18. Страница 149

603 604 605 606 607 608 609

Вопрос

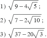
Упростите выражение:

Подсказка

Ответ


Вернуться к содержанию учебника