Задание 12. Вопросы для повторения к главе VI - ГДЗ Геометрия 7-9 класс. Атанасян. Учебник

Старая и новая редакции

Вернуться к содержанию учебника

Вопросы для повторения к главе VI. Страница 133, 136

9 10 11 12 13 14 15

Вопрос

Выберите год учебника

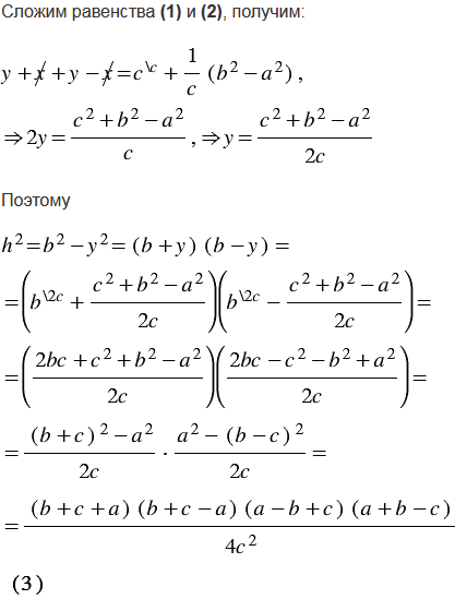
№12 учебника 2013-2022 (стр. 133):

Какая формула площади треугольника называется формулой Герона? Выведите эту формулу.


№12 учебника 2023-2026 (стр. 136):

Какой четырёхугольник называется прямоугольником?

Подсказка

№12 учебника 2013-2022 (стр. 133):

Вспомните:

  1. Что такое площадь.
  2. Как найти площадь треугольника.
  3. Какой треугольник называется прямоугольным.
  4. Теорему Пифагора.
  5. Формулу Герона.

№12 учебника 2023-2026 (стр. 136):

Вспомните, какой четырёхугольник называется прямоугольником.

Ответ

№12 учебника 2013-2022 (стр. 133):


№12 учебника 2023-2026 (стр. 136):

Прямоугольником называют параллелограмм, у которого все углы прямые.

АВСD - прямоугольник.


Вернуться к содержанию учебника