Вернуться к содержанию учебника
Выберите год учебника
№570 учебника 2013-2022 (стр. 152):
Диагональ АС параллелограмма АВСD равна 18 см. Середина М стороны АВ соединена с вершиной D. Найдите отрезки, на которые делится диагональ АС отрезком DМ.
№570 учебника 2023-2026 (стр. 151):
№570 учебника 2013-2022 (стр. 152):
Вспомните:
№570 учебника 2023-2026 (стр. 151):
Вспомните:
№570 учебника 2013-2022 (стр. 152):


№570 учебника 2023-2026 (стр. 151):
Дано: окр.(О, r) вписана в
АВС, Р, Q и R - точки касания окружности со сторонами АВ, ВС и СА, r = 3 см, AP = 5 см, BQ = 5 см, CR = 6 см.
Найти:
.
Решение:


По теореме об отрезках касательных:
АP = AR = 5 см, ВQ = ВР = 5 см, СR = СQ = 6 см, 
АВ = АР + ВР = 5 + 5 = 10 (см);
ВС = ВQ + СQ = 5 + 6 = 11 (см);
СА = СR + АR = 6 + 5 = 11 (см).

Ответ:
= 48 см2.
Пояснения:
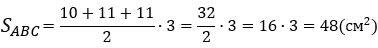
Площадь треугольника равна произведению его полупериметра на радиус вписанной в него окружности. Периметр треугольника - это сумма длин трех его сторон. Тогда площадь треугольника АВС:
.
Отрезки касательных к окружности, проведенные из одной точки, равны и составляют равные углы с прямой, проходящей через эту точку и центр окружности. Тогда:
АP = AR = 5 см, ВQ = ВР = 5 см, СR = СQ = 6 см.
Следовательно,
АВ = АР + ВР = 5 + 5 = 10 (см);
ВС = ВQ + СQ = 5 + 6 = 11 (см);
СА = СR + АR = 6 + 5 = 11 (см).
Подставляя в формулу площади треугольника числовые значения, получаем:

Вернуться к содержанию учебника