Вернуться к содержанию учебника
Выберите год учебника
№592 учебника 2013-2022 (стр. 157):
Постройте угол
, если:
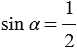
а)
; б)
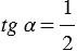
;
в)
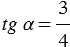
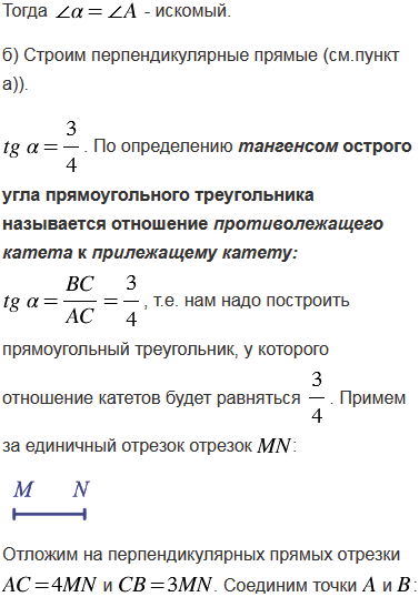
; г)
;
д)
; е) 
№592 учебника 2023-2026 (стр. 157):
Найдите диагональ и площадь ромба, если его сторона равна 10 см, а другая диагональ равна 12 см.
№592 учебника 2013-2022 (стр. 157):
Вспомните:
№592 учебника 2023-2026 (стр. 157):
Вспомните:
Вернуться к содержанию учебника