Задание 597 - ГДЗ Геометрия 7-9 класс. Атанасян. Учебник

Старая и новая редакции

Вернуться к содержанию учебника

594 595 596 597 598 599 600

Вопрос

Выберите год учебника

№597 учебника 2013-2022 (стр. 158):

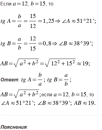
Катеты прямоугольного треугольника равны и . Выразите через и гипотенузу и тангенсы острых углов треугольника и найдите их значения при = 12, = 15.


№597 учебника 2023-2026 (стр. 157):

Найдите меньшую высоту треугольника со сторонами, равными: а) 24 см, 25см, 7см; б) 15 см, 17 см, 8 см.

Подсказка

№597 учебника 2013-2022 (стр. 158):


№597 учебника 2023-2026 (стр. 157):

Вспомните:

  1. Какая фигура называется треугольником.
  2. Что такое высота треугольника.
  3. Теорему, обратную теореме Пифагора.
  4. Как найти площадь треугольника.

Ответ

№597 учебника 2013-2022 (стр. 158):


№597 учебника 2023-2026 (стр. 157):


Вернуться к содержанию учебника