Задание 697 - ГДЗ Геометрия 7-9 класс. Атанасян. Учебник

Старая и новая редакции

Вернуться к содержанию учебника

694 695 696 697 698 699 700

Вопрос

Выберите год учебника

№697 учебника 2013-2022 (стр. 183):

Докажите, что площадь описанного многоугольника равна половине произведения его периметра на радиус вписанной окружности.


№697 учебника 2023-2026 (стр. 184):

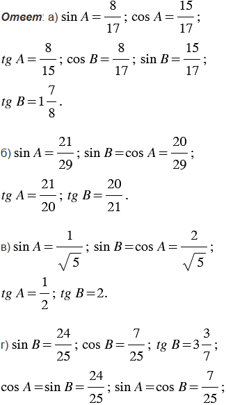
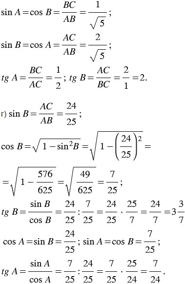
Найдите синус, косинус и тангенс углов А и В треугольника АВС с прямым углом С, если: а) ВС = 8, АВ = 17; б) ВС = 21, АС = 20; в) ВС = 1, АС = 2; г) АС = 24, АВ = 25.

Подсказка

№697 учебника 2013-2022 (стр. 183):

Вспомните:

  1. Что такое многоугольник, его периметр.
  2. Что такое площадь, свойства площадей.
  3. Какой многоугольник называется описанным.
  4. Что такое радиус окружности.
  5. Свойство касательной.

№697 учебника 2023-2026 (стр. 184):

Ответ

№697 учебника 2013-2022 (стр. 183):


№697 учебника 2023-2026 (стр. 184):


Вернуться к содержанию учебника