Задание 801 - ГДЗ Геометрия 7-9 класс. Атанасян. Учебник

Старая и новая редакции

Вернуться к содержанию учебника

798 799 800 801 802 803 804

Вопрос

Выберите год учебника

№801 учебника 2013-2022 (стр. 209):

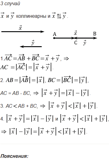
Докажите, что для любых векторов и справедливы неравенства .


№801 учебника 2023-2026 (стр. 210):

Две окружности пересекаются в точках А и В. Через точку А проведена прямая  , пересекающая эти окружности в точках С и D. Докажите, что величина угла СВD не зависит от выбора прямой .

Подсказка

№801 учебника 2013-2022 (стр. 209):

Вспомните:

  1. Что такое вектор, длина вектора.
  2. Что такое сумма двух векторов.
  3. Какие векторы называются коллинеарными (сонаправленными, противоположно направленными).
  4. Какая фигура называется треугольником.
  5. Неравенство треугольника.
  6. Что такое отрезок.
  7. Что такое длина отрезка.

№801 учебника 2023-2026 (стр. 210):

Вспомните:

  1. Взаимное расположение двух окружностей.
  2. Углы, образованные хордами, касательными и секущими.
  3. Теорема о вписанном угле.
  4. Теорема о сумме углов треугольника.

Ответ

№801 учебника 2013-2022 (стр. 209):


№801 учебника 2023-2026 (стр. 210):


Вернуться к содержанию учебника