Задание 839 - ГДЗ Геометрия 7-9 класс. Атанасян. Учебник

Старая и новая редакции

Вернуться к содержанию учебника

836 837 838 839 840 841 842

Вопрос

Выберите год учебника

№839 учебника 2013-2022 (стр. 213):

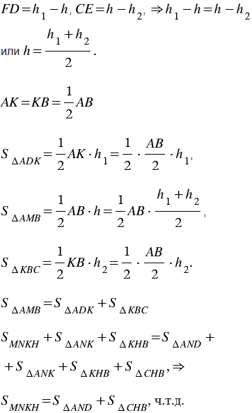
Середины К и М сторон АВ и DC выпуклого четырёхугольника ABCD соединены отрезками KD, KC, MA и МВ соответственно с его вершинами. Докажите, что площадь четырёхугольника, заключённого между этими отрезками, равна сумме площадей двух треугольников, прилежащих к сторонам AD и ВС.


№839 учебника 2023-2026 (стр. 215):

На сторонах треугольника АВС во внешнюю сторону построены квадраты ВСDЕ, АСТМ, ВАНК, а затем параллелограммы ТСDQ и ЕВКР. Докажите, что треугольник АРQ прямоугольный и равнобедренный.

Подсказка

№839 учебника 2013-2022 (стр. 213):

Вспомните:

  1. Что такое четырехугольник.
  2. Что такое треугольник.
  3. Какой треугольник называется прямоугольным.
  4. Признаки равенства прямоугольных треугольников.
  5. Что такое высота.
  6. Что такое площадь.
  7. Как вычислить площадь треугольника.

№839 учебника 2023-2026 (стр. 215):

Вспомните:

  1. Какой четырехугольник называется квадратом, какой параллелограммом.
  2. Какой треугольник называется прямоугольным, какой равнобедренным.
  3. Какие прямые называются параллельными.
  4. Теорему об односторонних углах.
  5. Первый признак равенства треугольников.
  6. Какие треугольники называются равными.
  7. Теорему о сумме углов треугольника.

Ответ

№839 учебника 2013-2022 (стр. 213):


№839 учебника 2023-2026 (стр. 215):


Вернуться к содержанию учебника