Вернуться к содержанию учебника
Выберите год учебника
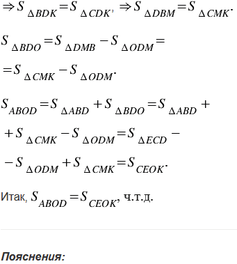
№837 учебника 2013-2022 (стр. 213):
Сторона АВ параллелограмма ABCD продолжена за точку В на отрезок ВЕ, а сторона AD продолжена за точку D на отрезок DK. Прямые ED и КВ пересекаются в точке О. Докажите, что площади четырёхугольников ABOD и СЕОК равны.
№837 учебника 2023-2026 (стр. 215):
На рисунке 274 изображены три квадрата. Найдите сумму углов
ВАЕ +
САЕ +
DАЕ.

Рис. 274
№837 учебника 2013-2022 (стр. 213):
Вспомните:
№837 учебника 2023-2026 (стр. 215):
Вспомните:
Вернуться к содержанию учебника