Задание 833 - ГДЗ Геометрия 7-9 класс. Атанасян. Учебник

Старая и новая редакции

Вернуться к содержанию учебника

830 831 832 833 834 835 836

Вопрос

Выберите год учебника

№833 учебника 2013-2022 (стр. 212):

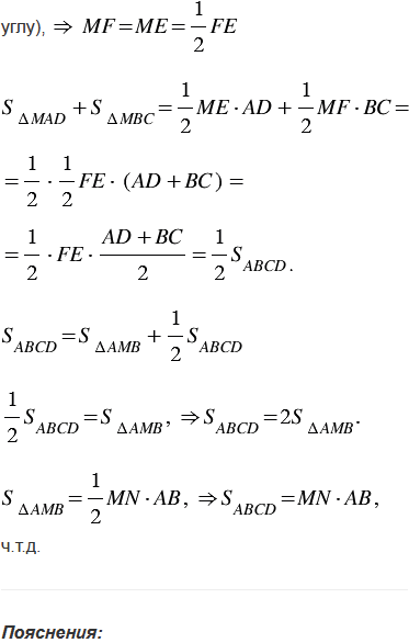
Докажите, что площадь трапеции равна произведению одной из боковых сторон на перпендикуляр, проведённый из середины другой боковой стороны к прямой, содержащей первую боковую сторону.


№833 учебника 2023-2026 (стр. 214):

Докажите, что прямая, проходящая через середины оснований равнобедренной трапеции, перпендикулярна к основаниям. Сформулируйте и докажите обратное утверждение.

Подсказка

№833 учебника 2013-2022 (стр. 212):

Вспомните:

  1. Что такое трапеция.
  2. Что такое треугольник.
  3. Какие треугольники называются равными.
  4. Какие треугольники называются прямоугольными.
  5. Признаки равенства прямоугольных треугольников.
  6. Что такое площадь.
  7. Как найти площадь треугольника.

№833 учебника 2023-2026 (стр. 214):

Вспомните:

  1. Какой четырехугольник называется равнобедренной трапецией.
  2. Что такое прямая.
  3. Какие прямые называются перпендикулярными.
  4. Какая точка называется серединой отрезка.
  5. Первый признак равенства треугольников.
  6. Признаки равенства прямоугольных треугольников.
  7. Какой треугольник называется равнобедренным.
  8. Свойства равнобедренного треугольника.
  9. Что такое медиана, высота и биссектриса треугольника.
  10. Какие прямые называются параллельными.
  11. Какие треугольники называются равными.

Ответ

№833 учебника 2013-2022 (стр. 212):


№833 учебника 2023-2026 (стр. 214):


Вернуться к содержанию учебника