Задание 831 - ГДЗ Геометрия 7-9 класс. Атанасян. Учебник

Старая и новая редакции

Вернуться к содержанию учебника

828 829 830 831 832 833 834

Вопрос

Выберите год учебника

№831 учебника 2013-2022 (стр. 212):

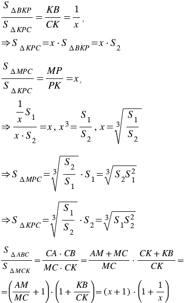
На сторонах АС и ВС треугольника АВС взяты точки М и К, а на отрезке МК - точка Р так, что . Найдите площадь треугольника АВС, если площади треугольников АМР и ВКР равны S1 и S2.


№831 учебника 2023-2026 (стр. 214):

Диагонали выпуклого четырехугольника разбивают его на четыре треугольника, периметры которых равны. Докажите, что этот четырехугольник - ромб.

Подсказка

№831 учебника 2013-2022 (стр. 212):

Вспомните:

  1. Что такое отрезок.
  2. Что такое треугольник.
  3. Какие треугольники называются равными.
  4. Что такое площадь.
  5. Как найти площадь треугольника.

№831 учебника 2023-2026 (стр. 214):

Вспомните:

  1. Какой четырехугольник называется ромбом.
  2. Какой многоугольник называется выпуклым.
  3. Какая фигура называется треугольником, его периметр.
  4. Какие углы называются вертикальными, их свойство.
  5. Первый признак равенства треугольников.
  6. Неравенство треугольника.
  7. Какой четырехугольник называется параллелограммом.
  8. Признаки параллелограмма.
  9. Какие стороны многоугольника называются смежными.

Ответ

№831 учебника 2013-2022 (стр. 212):


№831 учебника 2023-2026 (стр. 214):


Вернуться к содержанию учебника