Задание 830 - ГДЗ Геометрия 7-9 класс. Атанасян. Учебник

Старая и новая редакции

Вернуться к содержанию учебника

827 828 829 830 831 832 833

Вопрос

Выберите год учебника

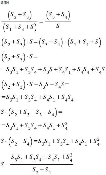
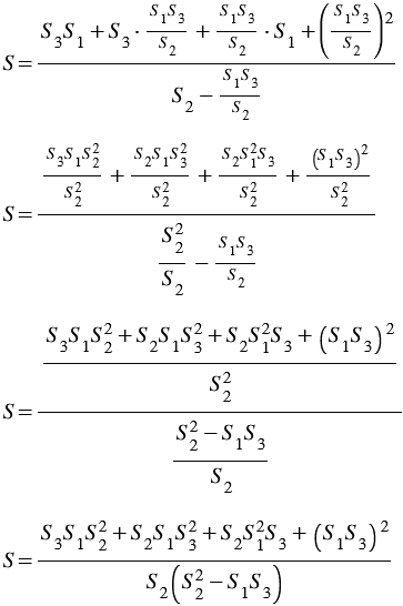
№830 учебника 2013-2022 (стр. 212):

На сторонах АС и ВС треугольника АВС взяты соответственно точки М и К. Отрезки АК и ВМ пересекаются в точке О. Найдите площадь треугольника СМК, если площади треугольников ОМА, ОАВ и ОВК равны соответственно S1, S2, S3.


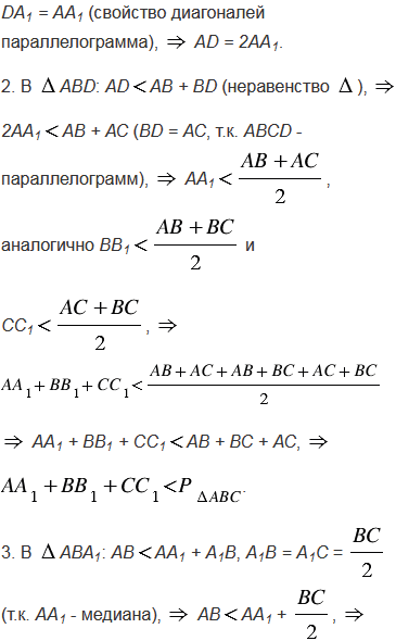
№830 учебника 2023-2026 (стр. 214):

Докажите, что в треугольнике сумма трех медиан меньше периметра, но больше половины периметра.

Подсказка

№830 учебника 2013-2022 (стр. 212):

Вспомните:

  1. Что такое отрезок.
  2. Что такое треугольник.
  3. Какие треугольники называются равными.
  4. Что такое площадь.
  5. Как найти площадь треугольника.

№830 учебника 2023-2026 (стр. 214):

Вспомните:

  1. Какая фигура называется треугольником, его периметр.
  2. Что такое медиана треугольника.
  3. Неравенство треугольника.
  4. Какой четырехугольник называется параллелограммом, его свойства.

Ответ

№830 учебника 2013-2022 (стр. 212):


№830 учебника 2023-2026 (стр. 214):


Вернуться к содержанию учебника