Задание 825 - ГДЗ Геометрия 7-9 класс. Атанасян. Учебник

Старая и новая редакции

Вернуться к содержанию учебника

822 823 824 825 826 827 828

Вопрос

Выберите год учебника

№825 учебника 2013-2022 (стр. 212):

Внутри квадрата АВСD взята такая точка М, что МАВ = 600, МСD = 150. Найдите МВС.


№825 учебника 2023-2026 (стр. 214):

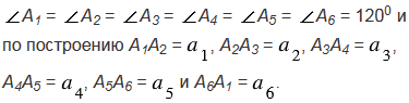
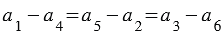
Положительные числа , , , , и удовлетворяют условиям . Докажите, что существует выпуклый шестиугольник А1А2А3А4А5А6, все углы которого равны, причем А1А2 = , А2А3 = , А3А4 = , А4А5 = , А5А6 = и А6А1 = .

Подсказка

№825 учебника 2013-2022 (стр. 212):

Вспомните:

  1. Какой четырехугольник называется квадратом.
  2. Какой треугольник называется равнобедренным.
  3. Свойства равнобедренного треугольника.
  4. Теорему о сумме углов треугольника.
  5. Что такое угол.
  6. Что такое луч.

№825 учебника 2023-2026 (стр. 214):

Вспомните:

  1. Какая фигура называется многоугольником.
  2. Какой многоугольник называется выпуклым.
  3. Что такое угол.
  4. Какие углы называются смежными, их свойство.
  5. Какой треугольник называется равносторонним.
  6. Свойства равностороннего треугольника.
  7. Что такое отрезок.

Ответ

№825 учебника 2013-2022 (стр. 212):


№825 учебника 2023-2026 (стр. 214):


Вернуться к содержанию учебника