Задание 914 - ГДЗ Геометрия 7-9 класс. Атанасян. Учебник

Старая и новая редакции

Вернуться к содержанию учебника

911 912 913 914 915 916 917

Вопрос

Выберите год учебника

№914 учебника 2013-2022 (стр. 227):

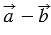
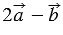
Докажите, что если векторы и не коллинеарны, то: а) векторы и не коллинеарны; б) векторы и не коллинеарны; в) и не коллинеарны.


№914 учебника 2023-2026 (стр. 223):

В четырёхугольнике ABCD, вписанном в окружность, биссектрисы углов А и В пересекаются в точке, лежащей на стороне CD. Докажите, что CD = BC + AD.

Подсказка

№914 учебника 2013-2022 (стр. 227):

Вспомните:

  1. Что такое вектор.
  2. Какие векторы называются коллинеарными.
  3. Лемму о двух коллинеарных векторах.

№914 учебника 2023-2026 (стр. 223):

Вспомните:

  1. Что такое треугольник.
  2. Какие треугольники называются равными.
  3. Что такое биссектриса.
  4. Свойство биссектрисы угла.
  5. Что такое высота.
  6. Какие треугольники называются прямоугольными.
  7. Что называется расстоянием от точки до прямой.
  8. Теорема о накрест лежащих углах.
  9. Теорема об односторонних углах.
  10. Что такое четырехугольник.
  11. Что такое диагональ.
  12. Что такое окружность.
  13. Какая окружность называется описанной.

Ответ

№914 учебника 2013-2022 (стр. 227):


№914 учебника 2023-2026 (стр. 223):


Вернуться к содержанию учебника