Задание 1143 - ГДЗ Геометрия 7-9 класс. Атанасян. Учебник

Старая и новая редакции

Вернуться к содержанию учебника

1140 1141 1142 1143 1144 1145 1146

Вопрос

Выберите год учебника

№1143 учебника 2013-2022 (стр. 286):

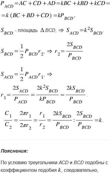
Высота прямоугольного треугольника, проведенная к гипотенузе, разделяет треугольник на два подобных треугольника (см. задачу 2, п. 65). Докажите, что отношение длин окружностей, вписанных в эти треугольники, равно коэффициенту подобия этих треугольников.


№1143 учебника 2023-2026 (стр. 289):

Докажите, что если АМ - медиана треугольника АВС, то 4АМ2 = АВ2 + АС2 + 2АВАСcos А. Пользуясь этой формулой, докажите, что медианы равнобедренного треугольника, проведённые к боковым сторонам, равны.

Подсказка

№1143 учебника 2013-2022 (стр. 286):

Вспомните:

  1. Какой треугольник называется прямоугольным.
  2. Как найти периметр треугольника.
  3. Что такое высота треугольника.
  4. Какая окружность называется вписанной в треугольник, как найти площадь описанного треугольника.
  5. Какие треугольники называются подобными.
  6. Какие отрезки называются пропорциональными.
  7. Теорему об отношении площадей подобных треугольников.
  8. Как найти длину окружности.

№1143 учебника 2023-2026 (стр. 289):

Вспомните:

  1. Что такое треугольник.
  2. Какой треугольник называется равнобедренным.
  3. Свойства равнобедренного треугольника.
  4. Что такое медиана.
  5. Что такое вектор.
  6. Как применяются векторы к решению задач.
  7. Теорему косинусов.
  8. Что такое скалярное произведение.
  9. Что называется скалярным квадратом вектора.

Ответ

№1143 учебника 2013-2022 (стр. 286):


№1143 учебника 2023-2026 (стр. 289):


Вернуться к содержанию учебника