Задание 1156 - ГДЗ Геометрия 7-9 класс. Атанасян. Учебник

Старая и новая редакции

Вернуться к содержанию учебника

1153 1154 1155 1156 1157 1158 1159

Вопрос

Выберите год учебника

№1156 учебника 2013-2022 (стр. 293):

В треугольниках АВС и А1В1С1  АВ=А1В1, АС=А1С1, ВС=В1С1. Докажите, что существует движение при котором точки А, В и С отображаются в точки А1, В1 и С1, и притом только одно.


№1156 учебника 2023-2026 (стр. 292):

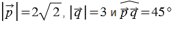
Найдите диагонали параллелограмма, построенного на векторах и , если .

Подсказка

№1156 учебника 2013-2022 (стр. 293):

Вспомните:

  1. Что такое точка.
  2. Что такое треугольник.
  3. Что такое отображение плоскости на себя.
  4. Что такое движение.

№1156 учебника 2023-2026 (стр. 292):

Вспомните:

  1. Какой четырехугольник называется параллелограммом.
  2. Что такое диагональ многоугольника.
  3. Что такое вектор, длина вектора.
  4. Как найти скалярное произведение векторов, скалярный квадрат.
  5. Правило параллелограмма сложения двух векторов.
  6. Правило вычитания векторов.

Ответ

№1156 учебника 2013-2022 (стр. 293):

Решение приведено в учебнике.


№1156 учебника 2023-2026 (стр. 292):


Вернуться к содержанию учебника