Задание 1274 - ГДЗ Геометрия 7-9 класс. Атанасян. Учебник

Старая и новая редакции

Вернуться к содержанию учебника

1271 1272 1273 1274 1275 1276 1277

Вопрос

Выберите год учебника

№1274 учебника 2013-2022 (стр. 331):

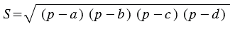
Докажите, что площадь четырехугольника, вписанного в окружность, может быть вычислена по формуле

,

где - полупериметр, , , , - стороны четырехугольника.


№1274 учебника 2023-2026 (стр. 328):

Приведите пример многоугольника, не имеющего симметрий.

Подсказка

№1274 учебника 2013-2022 (стр. 331):

Вспомните:

  1. Что такое четырехугольник.
  2. Какой многоугольник называется вписанным в окружность.
  3. Что такое площадь.
  4. Теорему косинусов.
  5. Теорему о площади треугольника.

№1274 учебника 2023-2026 (стр. 328):

Вспомните:

  1. Симметрии фигур.
  2. Что называют треугольником.

Ответ

№1274 учебника 2013-2022 (стр. 331):


№1274 учебника 2023-2026 (стр. 328):


Вернуться к содержанию учебника