Номер 765 - ГДЗ Алгебра 8 класс. Мерзляк, Полонский. Учебник. Страница 186

Вернуться к содержанию учебника

Упражнения §22. Страница 186

762 763 764 765 766 767 768

Вопрос

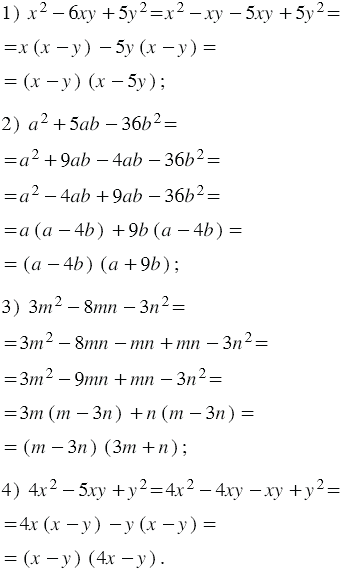
Разложите на множители многочлен:

Подсказка

Ответ


Вернуться к содержанию учебника