Номер 761 - ГДЗ Алгебра 8 класс. Мерзляк, Полонский. Учебник. Страница 186

Вернуться к содержанию учебника

Упражнения §22. Страница 186

758 759 760 761 762 763 764

Вопрос

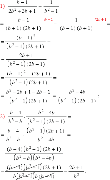
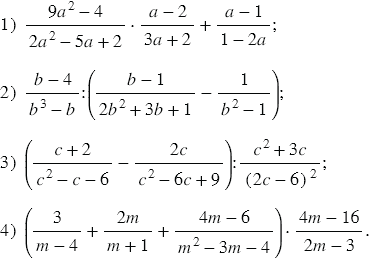
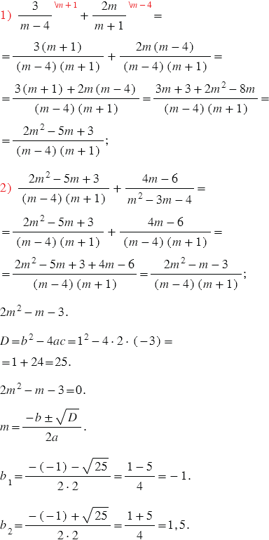
Упростите выражение:

Подсказка

Ответ


Вернуться к содержанию учебника