Номер 758 - ГДЗ Алгебра 8 класс. Мерзляк, Полонский. Учебник. Страница 185

Вернуться к содержанию учебника

Упражнения §22. Страница 185

755 756 757 758 759 760 761

Вопрос

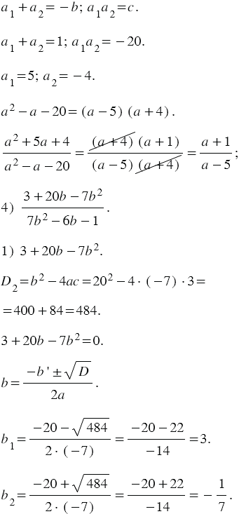
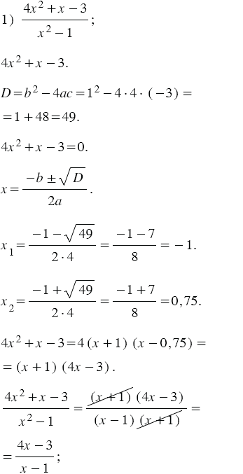
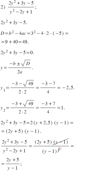
Сократите дробь:

Подсказка

Ответ


Вернуться к содержанию учебника