Номер 759 - ГДЗ Алгебра 8 класс. Мерзляк, Полонский. Учебник. Страница 185

Вернуться к содержанию учебника

Упражнения §22. Страница 185

756 757 758 759 760 761 762

Вопрос

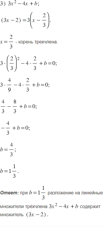
При каком значении разложение на линейные множители трёхчлена:

содержит множитель

содержит множитель

содержит множитель

Подсказка

Вспомните:

  1. Что такое многочлен.
  2. Какой многочлен называют квадратным трехчленом.
  3. Что называют корнем квадратного трехчлена.
  4. Сложение, вычитание и умножение рациональных чисел.
  5. Что называют разложением квадратного трехчлена на линейные множители.

Ответ


Вернуться к содержанию учебника