Номер 757 - ГДЗ Алгебра 8 класс. Мерзляк, Полонский. Учебник. Страница 185

Вернуться к содержанию учебника

Упражнения §22. Страница 185

754 755 756 757 758 759 760

Вопрос

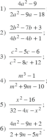
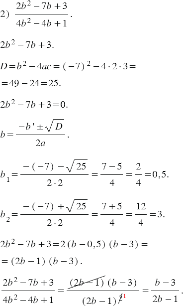
Сократите дробь:

Подсказка

Ответ


Вернуться к содержанию учебника