Квадратным трехчленом называют многочлен вида где - переменная, и - некоторые числа, причем ![]() |
Примеры квадратных трехчленов:

Очевидно, что левая часть квадратного уравнения
является квадратным трехчленом.
| Корнем квадратного трехчлена называют значение переменной, при котором значение квадратного трехчлена равно нулю. |
При этом, чтобы найти корни квадратного трехчлена
, надо решить соответствующее квадратное уравнение
.
Число
называют дискриминантом квадратного трехчлена
.
Заметим, что если:
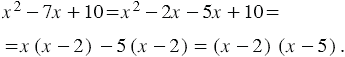
Рассмотрим квадратный трехчлен
Разложим его на множители методом группировки. Имеем:

О таком тождественном преобразовании говорят, что квадратный трехчлен
разложили на линейные множители
и 
|
Если дискриминант квадратного трехчлена
где |
Заметим, что если дискриминант квадратного трехчлена равен нулю, то считают, что квадратный трехчлен имеет два равных корня, то есть
В этом случае разложение квадратного трехчлена на линейные множители имеет следующий вид:

| Если дискриминант квадратного трехчлена отрицательный, то данный трехчлен нельзя разложить на линейные множители. |
Квадратные уравнения. Решение неполных квадратных уравнений.
Формула корней квадратного уравнения
Решение уравнений, сводящихся к квадратным уравнениям
Линейное уравнение с одной переменной
Решение задач с помощью уравнений
Тождественно равные выражения. Тождества
Степень с натуральным показателем
Свойства степени с натуральным показателем
Сложение и вычитание многочленов
Умножение одночлена на многочлен
Умножение многочлена на многочлен
Разложение многочленов на множители
Формулы сокращенного умножения
Квадратные корни. Дейстительные числа
Системы линейных уравнений с двумя переменными
Элементы математической логики
8 класс
Номер 7, Мерзляк, Полонский, Якир, Учебник
Упражнение 599, Макарычев, Миндюк, Нешков, Суворова, Учебник
Упражнение 603, Макарычев, Миндюк, Нешков, Суворова, Учебник
Упражнение 604, Макарычев, Миндюк, Нешков, Суворова, Учебник
Упражнение 618, Макарычев, Миндюк, Нешков, Суворова, Учебник
Упражнение 620, Макарычев, Миндюк, Нешков, Суворова, Учебник
Упражнение 626, Макарычев, Миндюк, Нешков, Суворова, Учебник
Упражнение 791, Макарычев, Миндюк, Нешков, Суворова, Учебник
Упражнение 792, Макарычев, Миндюк, Нешков, Суворова, Учебник
Упражнение 793, Макарычев, Миндюк, Нешков, Суворова, Учебник
9 класс
Упражнение 326, Макарычев, Миндюк, Нешков, Суворова, Учебник
Упражнение 341, Макарычев, Миндюк, Нешков, Суворова, Учебник
Упражнение 832, Макарычев, Миндюк, Нешков, Суворова, Учебник
Упражнение 58, Макарычев, Миндюк, Нешков, Суворова, Учебник
Упражнение 66, Макарычев, Миндюк, Нешков, Суворова, Учебник
Упражнение 79, Макарычев, Миндюк, Нешков, Суворова, Учебник
Упражнение 80, Макарычев, Миндюк, Нешков, Суворова, Учебник
Упражнение 84, Макарычев, Миндюк, Нешков, Суворова, Учебник
Упражнение 216, Макарычев, Миндюк, Нешков, Суворова, Учебник
Упражнение 797, Макарычев, Миндюк, Нешков, Суворова, Учебник