Номер 767 - ГДЗ Алгебра 8 класс. Мерзляк, Полонский. Учебник. Страница 186

Вернуться к содержанию учебника

Упражнения §22. Страница 186

764 765 766 767 768 769 770

Вопрос

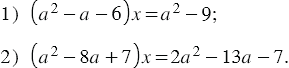
Для каждого значения решите уравнение:

Подсказка

Ответ


Вернуться к содержанию учебника