Задание 13. Применяем математику - ГДЗ Математика 6 класс. Виленкин, Жохов. Учебник часть 1. Страница 118

Старая и новая редакции

Вернуться к содержанию учебника

Применяем математику. Страница 118

10 11 12 13 14 15 16

Вопрос

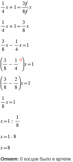
№13 учебника 2021-2022 (стр. 118):

Известному писателю Л. Н. Толстому очень нравилась следующая задача.

Артели косцов надо было скосить два луга, один вдвое больше другого. Половину дня артель косила большой луг. После этого артель разделилась пополам: первая артель осталась на большом лугу и докосила его к вечеру до конца; вторая же половина косила малый луг, на котором к вечеру еще остался участок, скошенный на другой день косцом за один день работы. Сколько косцов было в артели?

Подсказка

№13 учебника 2021-2022 (стр. 118):

Вспомните:

  1. Что называют уравнением, его корни.
  2. Свойства умножения (переместительное, сочетательное и распределительное).
  3. Умножение обыкновенных дробей, взаимно обратные числа.
  4. Сложение и вычитание дробей с разными знаменателями.
  5. Приведение дробей к общему знаменателю.
  6. Основное свойство дроби (сокращение дробей).
  7. Сложение и вычитание дробей с одинаковыми знаменателями.
  8. Деление обыкновенных дробей.

Ответ


Вернуться к содержанию учебника