Вернуться к содержанию учебника
Выберите год учебника
№3.39 учебника 2023-2026 (стр. 127):
Запишите в виде равенства утверждение:
а) 8 так относится к 7, как 4 относится к 3,5;
б) 0,6 так относится к
, как 21 относится к
;
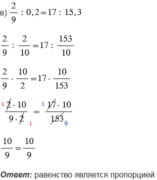
в) отношение
к 0,2 равно отношению 17 к 15,3.
Проверьте, являются ли полученные равенства пропорциями.
№3.39 учебника 2021-2022 (стр. 127):
Запишите в виде пропорции утверждения:
а) 8 так относится к 7, как 4 относится к 3,5;
б) 0,6 так относится к
, как 21 относится к
;
в) отношение
к 0,2 равно отношению 17 к 15,3.
Проверьте полученные пропорции, сравнивая отношения чисел.
№3.39 учебника 2023-2026 (стр. 127):
№3.39 учебника 2021-2022 (стр. 127):
Вспомните:
№3.39 учебника 2023-2026 (стр. 127):


Пояснения:
Пропорция - это равенство двух отношений (
).
Чтобы проверить полученные пропорции, сравнивая отношения чисел, применяем правила действий с обыкновенными дробями, при этом десятичные дроби преобразуем в обыкновенные, учитывая то, что количество знаков после запятой у десятичной дроби совпадает с количеством нулей в знаменателе обыкновенной дроби.
Чтобы найти частное двух дробей, надо делимое умножить на число, обратное делителю. При этом помним, обратным числу
является число
. Чтобы выполнить деление смешанных чисел, нужно записать эти числа в виде неправильных дробей, а затем воспользоваться правилом деления дробей.
Произведением двух дробей является дробь, числитель которой равен произведению числителей, а знаменатель - произведению знаменателей.
Чтобы умножить обыкновенную дробь на натуральное число, нужно ее числитель умножить на это число, а знаменатель оставить без изменения.
Чтобы преобразовать смешанное число в неправильную дробь, надо целую часть числа умножить на знаменатель дробной части и к полученному произведению прибавить числитель дробной части; эту сумму записать как числитель неправильной дроби, а в ее знаменатель записать знаменатель дробной части смешанного числа.
При выполнении умножения дробей, чтобы вычисления были проще, не надо перемножать сразу, лучше сделать это после сокращения. Сократить дробь - значит, разделить ее числитель и знаменатель на одно и то же число (наибольший общий делитель).
Также помним, дробь не изменится, если ее числитель и знаменатель умножить на одно и то же число.
№3.39 учебника 2021-2022 (стр. 127):


Пояснения:
Пропорция - это равенство двух отношений (
).
Чтобы проверить полученные пропорции, сравнивая отношения чисел, применяем правила действий с обыкновенными дробями, при этом десятичные дроби преобразуем в обыкновенные, учитывая то, что количество знаков после запятой у десятичной дроби совпадает с количеством нулей в знаменателе обыкновенной дроби.
Чтобы найти частное двух дробей, надо делимое умножить на число, обратное делителю. При этом помним, обратным числу
является число
. Чтобы выполнить деление смешанных чисел, нужно записать эти числа в виде неправильных дробей, а затем воспользоваться правилом деления дробей.
Произведением двух дробей является дробь, числитель которой равен произведению числителей, а знаменатель - произведению знаменателей.
Чтобы умножить обыкновенную дробь на натуральное число, нужно ее числитель умножить на это число, а знаменатель оставить без изменения.
Чтобы преобразовать смешанное число в неправильную дробь, надо целую часть числа умножить на знаменатель дробной части и к полученному произведению прибавить числитель дробной части; эту сумму записать как числитель неправильной дроби, а в ее знаменатель записать знаменатель дробной части смешанного числа.
При выполнении умножения дробей, чтобы вычисления были проще, не надо перемножать сразу, лучше сделать это после сокращения. Сократить дробь - значит, разделить ее числитель и знаменатель на одно и то же число (наибольший общий делитель).
Также помним, дробь не изменится, если ее числитель и знаменатель умножить на одно и то же число.
Вернуться к содержанию учебника