Вернуться к содержанию учебника
Выберите год учебника
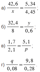
№3.43 учебника 2023-2024 (стр. 127):
Найдите неизвестный член пропорции:

№3.43 учебника 2021-2022 (стр. 127):
Найдите корень уравнения:

№3.43 учебника 2023-2024 (стр. 127):
№3.43 учебника 2021-2022 (стр. 127):
Вспомните:
№3.43 учебника 2023-2024 (стр. 127):
№3.43 учебника 2021-2022 (стр. 127):



Пояснения:
Пропорция - это равенство двух отношений.
В пропорции
числа
и
называют крайними членами, а числа
и
- средними членами пропорции.
Чтобы найти неизвестный член пропорции, используем основное свойство пропорции:
Произведение крайних членов пропорции равно произведению ее средних членов:
.
А затем находим неизвестный множитель по следующему правилу: чтобы найти неизвестный множитель, нужно произведение разделить на известный множитель.
После выполнения преобразований, неизвестный член пропорции представляет собой дробное выражение, у которого в числителе и знаменателе стоят десятичные дроби, то переносим у десятичных дробей запятую вправо так, чтобы все числа стали натуральными, при этом количество знаков, на которые перенесена запятая в числителе и в знаменателе дробного выражения должно быть одинаковым, соответственно там, где знаков после запятой меньше, можно на конце дописывать нули, либо приписывать множители 10, 100, 1000, в зависимости от того на сколько знаков получилось меньше.
Чтобы вычисления были проще, не надо перемножать сразу числа в числителе и в знаменателе, лучше сделать это после сокращения. Сократить дробь - значит, разделить ее числитель и знаменатель на одно и то же число (наибольший общий делитель).
Если при вычислениях получилась неправильная дробь (числитель больше знаменателя), то делим ее числитель на знаменатель, получаем десятичную дробь.
Вернуться к содержанию учебника