Вернуться к содержанию учебника
№3.73 учебника 2023-2026 (стр. 132):
№3.73 учебника 2021-2022 (стр. 132):
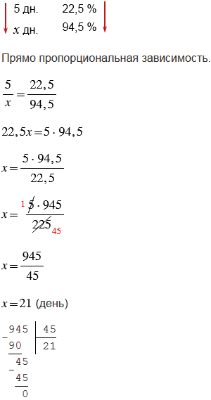
За 5 дней было собрано 22,5% всей пшеницы. Сколько дней потребуется, чтобы собрать 94,5% всей пшеницы?
№3.73 учебника 2023-2026 (стр. 132):
№3.73 учебника 2021-2022 (стр. 132):
Вспомните:
Вернуться к содержанию учебника